Menghitung Subnet Mask

  • Tutorial Menghitung Subnet || Subnetting Tutorial

    Pada suatu jaringan tertentu dibutuhkan pembagian jaringan yang berbeda network sebanyak 5 buah, dengan IP kelas C: 192.168.23.13/24 Tentukan: Network ...
    Watch Now
  • Cara Menghitung Subnetting

    Tugas Jarkom.. maaf gak kurang jelas soalnya pakai pensil.. video yang lebih jelas di https://www.youtube.com/watch?v=MR6n3qInBtI terima kasih..
    Watch Now
  • TUTORIAL SUBNETTING MASK

    Cara mudah menghitung subnetting mask..
    Watch Now
  • konsep Dasar Subnetting Jaringan Komputer

    memahami dasar-dasar konsep subnetting jaringan komputer.
    Watch Now
  • Perhitungan IP Adress (Subnetting)

    Perhitungan IP address v4 kelas C, menjelaskan jenis2 IP Address dengan kelas2 yang berbeda dan cara menghitungnya.
    Watch Now
  • Cara Menghitung Subnet

    Tugas Jaringan Komputer.
    Watch Now
  • Cara melakukan perhitungan ip subnet prefix biner

    Video menjelaskan cara mengkonversi ip address (desimal) menjadi biner (sistem bilangan 2 angka yakni 0 & 1) dan menghitung prefix /26. namun walau ...
    Watch Now
  • Cara Menghitung Subnetting

    Video ini berisikan tentang tutorial cara menghitung Subnetting pada kelas C, kelas B, dan kelas A.
    Watch Now
  • Class B Subnetting with a Class C Address

    In the tutorial I use a class B subnet mask on a class C ip address which is called a supernet. Find the network, broadcast, first and last usable host addresses in ...
    Watch Now
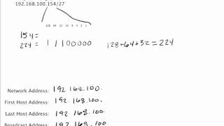
  • Subnetting 192.168.100.154/27

    This video shows how to find the subnet address, broadcast address, first address, and last address of the subnet that 192.168.100.154/27 is on.
    Watch Now
  • TERBUKTI! Cara Paling Mudah Memahami Netmask / Subnetmask Subnetting

    Halo! Pada seri video "Belajar Jaringan Komputer" kali ini saya akan membahas tentang: - Netmask / subnetmask, - Network portion & host portion - Network ...
    Watch Now
  • Cara menghitung subnetting

    Menghitung Subnetting Ip Address Class C. Subnetmask, Jumlah Subnet, Jumlah Host, Blok Subnet , Ip Broadcast, Range Host.
    Watch Now
  • Contoh Perhitungan Subneting Kelas B secara cepat

    perhitungan subnetting cara cepat untuk kelas B secara cepat....
    Watch Now
  • Simulasi Subnetting IP Adress

    Cara menyeting IP Address dinamis di CISCO Packet Tracer #SMKTelkomPurwokerto.
    Watch Now
  • Rapid Explanation of Subnet Masks


    Watch Now
  • Cara menentukan IP Network, Bc, Host dan sbnetmash

    Cara menentukan IP Network, Bc, Host dan sbnetmash.
    Watch Now
  • IPv6 subnetting

    Starting with /56.
    Watch Now
  • cara tercepat menghitung subnet

    bagaimana menghitung subnet hanya dengan beberapa saat...benar-benar cara cept.. jika hasil bagi pada hitung network tidak genap,maka gunakan ...
    Watch Now
  • Cara Subnetting IP menggunakan Mikrotik dan Penjelasan Subnetting IP


    Watch Now
  • Belajar Cisco - IP Address dan Subnetting - Jaringan Komputer

    Video kali ini akan membahas tentang cara mengoneksikan 14 PC dalam satu jaringan menggunakan switch dengan melakukan subnetting. . 1. Masukkan 14 ...
    Watch Now

Post a Comment

0 Comments